Το Poisson (κατανομή Poisson) στο στοίχημα είναι ένα μαθηματικό μοντέλο που χρησιμοποιείται για να υπολογίσουμε τις πιθανότητες συγκεκριμένων γεγονότων και να καταλήξουμε στις αποδόσεις τους.
Που χρησιμοποιείται το Poisson στο στοίχημα;
Το μαθηματικό μοντέλο Poisson το χρησιμοποιούμε περισσότερο σε αγώνες ποδοσφαίρου, όπου τα γκολ είναι σχετικά λίγα και ανεξάρτητα. Συνηθίζεται σε αγορές που έχουν να κάνουν με στατιστικά. Για παράδειγμα, οι στοιχηματικές εταιρίες προσφέρουν αγορές όπως: γκολ παίκτη, σουτ στο τέρμα, σουτ, ασίστ κτλ. Φυσικά, το ίδιο ισχύει και για το πόσα τέρματα σκοράρει μία ομάδα.
Τι κάνει το Poisson;
Στην ουσία υπολογίζει την πιθανότητα κάθε γεγονότος Χ φορές (π.χ 1 σουτ στο τέρμα, 2 σουτ στο τέρμα κτλ), ανάλογα τον μέσο όρο των φορών που συμβαίνει.
Για παράδειγμα: Εφόσον είμαστε σε θέση να γνωρίζουμε την συχνότητα (κατά μέσο όρο) που σουτάρει ή σκοράρει (αντίστοιχα) ένας παίκτης – είμαστε σε θέση με την κατανομή poisson να έχουμε την αντίστοιχη πιθανότητα.
Στο στοίχημα: Γνωρίζουμε ή υπολογίζουμε τον μέσο όρο των σουτ που κάνει ένα παίκτης ανά αγώνα (π.χ 0.6 σουτ ανά αγώνα):
Το μαθηματικό μοντέλο μας δίνει την πιθανότητα να κάνει:
- 0 σουτ
- 1 σουτ
- 2 σουτ
- 3 σουτ κλπ.
Πως λειτουργεί το Poisson στο στοίχημα;
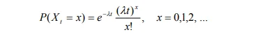
Η πιθανότητα να συμβεί ένα γεγονός Χ φορές βγαίνει μέσα από τον εξής τύπο:

Όπου:
λt= ο μέσος όρος (π.χ. 0.60 σουτ ανά αγώνα)
x = πόσες φορές θέλουμε να συμβεί (0,1,2,3…)
e = 2.718 (μαθηματική σταθερά)
x! = παραγοντικό (π.χ. 3! = 3×2×1 = 6)
Παράδειγμα στην αγορά με τα σουτ, όπου ο παίκτης κάνει 0.60 σουτ ανά αγώνα κατά μέσο όρο:
Πιθανότητα να κάνει 0 σουτ: όπου λt=0.60 και x=0 και η πιθανότητα βγαίνει=54.88%
Να κάνει 1 σουτ: όπου λt=0.60 και x=1 η πιθανότητα βγαίνει=32.93%
Να κάνει 2 σουτ: όπου λt=0.60 και x=2 η πιθανότητα βγαίνει=9.88%
Εφόσον έχουμε πλέον τη πιθανότητα, έχουμε ταυτόχρονα και την απόδοση αρκεί να την διαιρέσουμε με το 100 (100/54.88 – 100/32.93 – 100/9.88). Επειτα, εισάγουμε και την γκανιότα και έχουμε και την σωστή=fair απόδοση.
Πως καταλαβαίνουμε ότι έχουμε Value Bet στο στοίχημα
Αν η απόδοση που βγάλαμε (για κάθε γεγονός) είναι μεγαλύτερη από την απόδοση που προσφέρουν οι στοιχηματικές εταιρίες, έχουμε το λεγόμενο Value bet όπου αξίζει να ποντάρουμε!
Για παράδειγμα: Αν στην περίπτωση του ενός σουτ με το 0.6 που αναφέραμε πάνω, η απόδοση των στοιχηματικών ετιαιριών είναι μεγαλύτερη από το 1.82 (100/54.88), τότε αξίζει να το ποντάρουμε (το 1.82 είναι χωρίς γκανιότα: αν προσθέσουμε ένα π.χ 8% γκανιότα το 1.82 γίνεται περίπου 1.68)!
Μπορείτε να διαβάσετε τη διαδικασία πίσω από ένα Value Bet (με πραγματικό παράδειγμα).